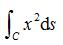
计算对弧长的曲线积分 ,其中C是曲线 .

作者:高老师 浏览 1

计算对弧长的曲线积分 ,其中C是曲线


【正确答案】:
【题目解析】:

📱 扫码体验刷题小程序

微信小程序二维码

扫一扫使用我们的微信小程序

热门题目

已复制到剪贴板