求曲线: ,在对应于 的点处的切线方程.

作者:高老师 浏览 1

求曲线: ,在对应于 的点处的切线方程.


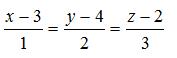
【正确答案】:
【题目解析】:

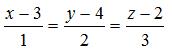
代入到参数方程中去,可知切点为 .切向量为故切线方程为


📱 扫码体验刷题小程序

微信小程序二维码

扫一扫使用我们的微信小程序

热门题目

已复制到剪贴板