幂级数
的收敛域是
A、

B、

C、

D、

【正确答案】:D
【题目解析】:
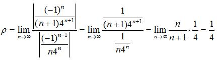
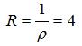
,则收敛半径
.则该级数的收敛区间为
,考虑在收敛区间端点的敛散性.当
时,原级数
,级数发散;当
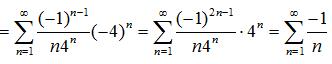
时,原级数
.由交错级数的莱布尼兹判别法知该级数收敛.故收敛域是
.幂级数
的收敛域是




,则收敛半径
.则该级数的收敛区间为
,考虑在收敛区间端点的敛散性.当
时,原级数
,级数发散;当
时,原级数
.由交错级数的莱布尼兹判别法知该级数收敛.故收敛域是
.📱 扫码体验刷题小程序
扫一扫使用我们的微信小程序