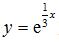
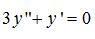
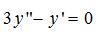
以 为特解的微分方程是 作者:高老师 时间:2024-08-03 浏览 1 以 为特解的微分方程是A、B、C、D、【正确答案】:A【题目解析】:将函数依次代入到方程中去.对于选项A,左端右端,方程得到满足.故应选择A. 📱 扫码体验刷题小程序 扫一扫使用我们的微信小程序