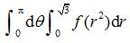
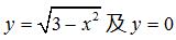
设积分区域D是由所围成,二重积分 化为极坐标下的二重积分为

作者:高老师 浏览 1

设积分区域D是由所围成,二重积分 化为极坐标下的二重积分为


A、
B、
C、
D、
【正确答案】:C
【题目解析】:

积分区域是半径为 的上半圆周,如图.应选C.


📱 扫码体验刷题小程序

微信小程序二维码

扫一扫使用我们的微信小程序

热门题目

已复制到剪贴板