极限

作者:高老师 浏览 2

极限


A、等于0
B、等于1
C、等于2
D、不存在
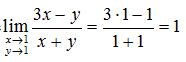
【正确答案】:B
【题目解析】:

函数 是初等函数,极限点 是该函数定义域中的点.由连续性可得


📱 扫码体验刷题小程序

微信小程序二维码

扫一扫使用我们的微信小程序

热门题目

已复制到剪贴板