翰林刷题,免费考试真题网站!
首页
关于我们
首页
›
分类
› 详情
作者:高老师
时间:2024-08-03
浏览 0
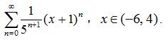
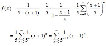
【正确答案】:
【题目解析】:
📱 扫码体验刷题小程序
扫一扫使用我们的微信小程序
热门题目
五四运动的历史特点和历史意义
The economy of the United States after 1952 was the economy of a
关于《企业内部控制规范》的实施,以下说法正确的是( )。
下列最能准确体现“劳动力供给”含义的是( )
近年来,一些物业公司使用人脸识别技术管理住宅小区。这一做法因可能侵犯公民权利引起越来越多的争议。一些地方开始立法限制这一技术的使
根据现行宪法,下列人员中由全国人大常委会决定任免的是
对非期望行为管教策略有:行为改变技术、民主的儿童训练策略、沟通策略、 、沟通分析。
1903年,清政府颁发《奏定学堂章程》,定幼儿教育机构名为(),这是中国的第一个幼儿社会教育机构。
请分析关税的经济效应并得出一定结论。
独家采访
主要适用于寄售、代销性质的进口商品的海关估价法是()
控制哮喘急性发作症状的首选药物是______。
➕
➖
📋
⬆️
已复制到剪贴板