翰林刷题,免费考试真题网站!
首页
关于我们
首页
›
分类
› 详情
计算三重积分其中积分区域
作者:高老师
时间:2024-08-03
浏览 0
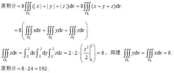
计算三重积分
其中积分区域
【正确答案】:192
【题目解析】:
📱 扫码体验刷题小程序
扫一扫使用我们的微信小程序
热门题目
正式的意见沟通网络划分的基本类型包括 ( )
And as rain fell in the Ethiopian highlands and the snows melted
在计划审计工作时,为了使审计业务更易于执行和管理,提高审计效率和效果,注册会计师可以就计划审计工作的基本情况与被审计单位治理层和
简述非关税壁垒的特点。
()的代表作是《就业、利息和货币通论》。
(论述题)试述国际服务贸易的形式及当代国际服务贸易发展的原因。
直销属于()
试论述订单与经济行情的关系。
日本的索尼公司的随身听等产品,正是填补了市场上电子产品的空缺,并进行了不断的创新,使得索尼公司发展成世界级别的跨国公司。其采取的
语文基本技能,通常是指听、说、读、写四种_____技能。
RUP的测试活动不包含
风、云、雷、雨神的祭祀,属于古代的
➕
➖
📋
⬆️
已复制到剪贴板