作者:高老师 浏览 0


【正确答案】:
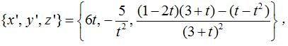
【题目解析】:

切向量为参数t=1对应的曲线上的点为此时的切向量为它也是法平面的法向量.由平面的点法式方程可得法平面为


📱 扫码体验刷题小程序

微信小程序二维码

扫一扫使用我们的微信小程序

热门题目

已复制到剪贴板