翰林刷题,免费考试真题网站!
首页
关于我们
首页
›
分类
› 详情
作者:高老师
时间:2024-08-03
浏览 1
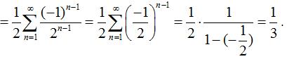
【正确答案】:1/3
【题目解析】:
原级数
📱 扫码体验刷题小程序
扫一扫使用我们的微信小程序
热门题目
1947年被国民党当局宣布为非法团体而被迫解散的中国民主党派是()
销售配额应具有一定的弹性,这是遵循设置销售配额的
决策在管理中的地位和作用是什么?
在每天晚上七点的交易中,第一个出门的是()
美国新奥尔良市的“意大利广场”的设计师是_____
41.简述流通过程对消费的作用。
1868年,在美国创办第一所幼儿教师培训机构的是
将下列外来语翻译成中文。トレーニング( )
汉译英 写一本书是一场恐怖的、令人精疲力竭的斗争,就像某种痛苦疾病的长时间发作一样。
下列对静态成员函数描述正确的是()
第三代程序设计语言成熟与普及于上世纪
探索型原型法适用的系统开发场合是
➕
➖
📋
⬆️
已复制到剪贴板