翰林刷题,免费考试真题网站!
首页
关于我们
首页
›
分类
› 详情
作者:高老师
时间:2024-08-03
浏览 0
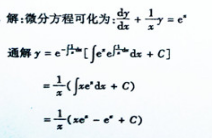
【正确答案】:
📱 扫码体验刷题小程序
扫一扫使用我们的微信小程序
热门题目
“理想信念能给人生一种推进的力量,为人生实践提供动力和毅力,是人生的力量源泉。”这句话意在说明
求极限limx→0[1/(1+x)]1/2x+1.
除了标题、广告语和_____三种基本要素外,字体还可以图形形式出现在招贴广告的主体中。()
下列各项中,属于存货的是( )
简述教学过程的本质表现。
情绪表达方式不包括
通过游戏活动感知、理解数字的基本含义的内容不包括( )
设置会计科目时,根据《企业会计准则——应用指南》的要求对一些主要会计科目的设置进行统一规定,将核算指标的计算标准、口径统一的是(
管理合同
2008年,美国电子电气工程师协会的权威刊物《软件》的九月/十月号,以“软件开发工具”(SoftwareDevelopmentT
在软件开发过程中,直接与变更要求关联的界面是
Among the following words, " ____"does NOT have derivational aff
➕
➖
📋
⬆️
已复制到剪贴板