翰林刷题,免费考试真题网站!
首页
关于我们
首页
›
分类
› 详情
作者:高老师
时间:2024-08-03
浏览 0
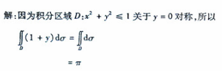
【正确答案】:
📱 扫码体验刷题小程序
扫一扫使用我们的微信小程序
热门题目
1662年,郑成功率领军队击败西方殖民者,台湾重新回到祖国的怀抱。这些殖民者来自()。
信用
科技兴则民族兴,科技强则国家强的提出者是()
将大量由互联网连接的计算资源进行统一的管理和调度,构成一个计算资源池的是 ( )
在word中,请写出设置段落左对齐的三种方法。
信息加工学习理论的代表人物是
间接论证主要指的是( )
We can learn from the passage that foreign investment by Chinese
数据结构主要研究数据的逻辑结构、数据的______以及数据的基本运算。
个人所得税实行超额累进税率的影响包括
在贸易壁垒取消的程度方面,共同市场要求()
SIRS发展的最终结果是()和()。
➕
➖
📋
⬆️
已复制到剪贴板