翰林刷题,免费考试真题网站!
首页
关于我们
首页
›
分类
› 详情
作者:高老师
时间:2024-08-03
浏览 1
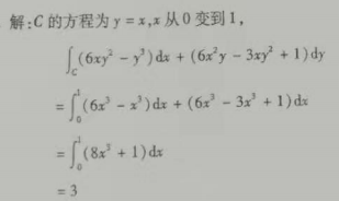
【正确答案】:
📱 扫码体验刷题小程序
扫一扫使用我们的微信小程序
热门题目
设函数y=f(x)在点x0可导,且f′(x0)=a,则 ( ) .
若一个演绎论证的论证方式正确但论据虚假.则其论题_____。
强调后天教育对心理发展的作用,否定了遗传作用的是()
按规定对收回后不需上缴财政的应收账款和其他应收款计提坏账准备,共计8600元。
产生于20世纪40-70年代,对员工监督制裁转为人性激发,由消极惩罚转为积极激励的人力资源发展阶段是
用游标机制协调SQL的集合处理方式所用的SQL语句有哪些?
36.使用关系代数查询与“王晓”在同一个班级的学生的学号、姓名、性别。
引入软件开发工具后,需要做的组织管理工作不包括【】
=___________.
(2004.4,单选20)在证券市场投机严重,债券价格严重扭曲,债券价格与其收益现值严重背离时,作为确定债券的评估值基本依据应是
资产评估业发展初期,资产评估的行政主管部门是
下列属于企业市场营销价格的有()
➕
➖
📋
⬆️
已复制到剪贴板