翰林刷题,免费考试真题网站!
首页
关于我们
首页
›
分类
› 详情
作者:高老师
时间:2024-08-03
浏览 1
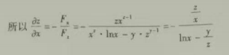
【正确答案】:
📱 扫码体验刷题小程序
扫一扫使用我们的微信小程序
热门题目
求由下列方程所确定的隐函数的微分或全微分:(1)ey=xy,求dy;(2)x2+y2+z2=xyz,求dz.
在职业选择中,与劳动者类型相对应的职业类型包括( )。
文学史上第一个忧郁的“世纪病”形象是()
根据我国的当前情况,改善我国劳动关系的措施主要有()。
提出“复杂人”假设,认为人的需要会根据不同的发展阶段、生活条件和环境而改变的是
以测验或测量的方式测定学生对知识的记忆状况或某项特质,此类评价属于
课程变革被视为一种线性过程,课程专家在课堂外制定出变革计划,教师在课堂中实施变革计划,这种观点属于课程实施的( )
边际产品价值
当纳入合并范围的子公司为非全资子公司的情况下,对子公司以前年度提取的盈余公积做会计分录时,其贷方应记为( )。
市场经济能够为社会提供公共产品。
目前使用比较普遍的独家经销的作价方法是()
下列关于重要性与审计风险关系叙述,正确的是( )。
➕
➖
📋
⬆️
已复制到剪贴板