翰林刷题,免费考试真题网站!
首页
关于我们
首页
›
分类
› 详情
作者:高老师
时间:2024-08-03
浏览 0
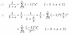
【正确答案】:
📱 扫码体验刷题小程序
扫一扫使用我们的微信小程序
热门题目
简述中共十四大、十五大的历史贡献。
供应链管理
职业道德是从业人员在一定的职业活动中遵循的、具有自身职业特征的道德要求和行为准则。加强职业道德建设的重要意义不包括()
论述法治思维与人治思维的区别。
《陌上桑》写罗敷采桑时,为其美貌所吸引而失态的人有
试述马歇尔关于工资、利息、利润、地租等生产要素价格决定的理论。
The eagle hovered,ready to ______ at any moment to snatch the yo
Packaging has the responsibility to do all of the following EXCE
最能代表北朝民歌风格的是()
擅长将旧人与古物相联接,写出历史的斗转星移,写“骨董”的物,写入的“骨董”,文字典雅,具有深浓书卷气的散文家是
授课计划的内容通常包括( )
简述产褥期妇女的访视内容。
➕
➖
📋
⬆️
已复制到剪贴板