翰林刷题,免费考试真题网站!
首页
关于我们
首页
›
分类
› 详情
作者:高老师
时间:2024-08-03
浏览 0
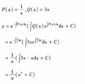
【正确答案】:
📱 扫码体验刷题小程序
扫一扫使用我们的微信小程序
热门题目
驼业种树,凡长安豪富人为观游及卖果者,皆争迎取养。视驼所种树,或移徙,无不活,且硕茂、早实以蕃。他植者虽窥伺效慕,莫能如也。问:
劳动的边际产量是指( )
不同历史阶段的管理,在思想、内容、性质、方法和手段等方面都有所不同,这说明管理学具有
下列不属于财务报表构成的是( )
债券的特征之一是
随机变量分布的中心是( )
投资决策时,使企业利润最大化,必须满足下列条件()
Words like foot or dog can each be used alone, and at the same t
为什么同业拆借利率是观察市场利率趋势变化的风向标?
简述施工项目劳务组织的形式。
大众传播对文化有哪些积极和消极作用?
➕
➖
📋
⬆️
已复制到剪贴板