翰林刷题,免费考试真题网站!
首页
关于我们
首页
›
分类
› 详情
作者:高老师
时间:2024-08-03
浏览 1
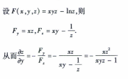
【正确答案】:
📱 扫码体验刷题小程序
扫一扫使用我们的微信小程序
热门题目
证券公司向客户推介金融产品时,为评估其购买金融产品的适当性,应当了解的客户基本情况( )。Ⅰ.工作情况Ⅱ.投资目标、风险偏好Ⅲ.
对信用证的可接受性有决定性影响的内容是()
在OSI七层协议中,数据链路层负责建立数据链接,并以________为数据传送单位。
( )是单位时间内存储器所存取的信息量。
The extra-linguistic context may extend to embrace the entire___
审计可以发挥的作用有
下列属于税收奉行费用的是( )
下列哪一项不属于护理法规的基本内容【】
关于子宫破裂的处理原则,下列描述正确的是
简述停用呼吸机的指征。
由已经获得了较高地位的人根据某种既定的标准来授予社会地位的社会流动形式是()
高等学校后勤制度改革的方向是
➕
➖
📋
⬆️
已复制到剪贴板