翰林刷题,免费考试真题网站!
首页
关于我们
首页
›
分类
› 详情
作者:高老师
时间:2024-08-03
浏览 1
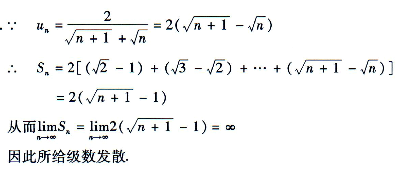
【正确答案】:
📱 扫码体验刷题小程序
扫一扫使用我们的微信小程序
热门题目
中共十三大明确将党在社会主义初级阶段的基本路线概括为( )
试述工作分析的相关概念。
不充分就业人员的标准之一是调查周内工作时间不到标准时间的一半,即不到( )
元信息沟通
学生成长档案的目的与对象不包括()
口头语言发展的关键期是 ( )
scrub这个单词的意思是()
在文件目录的目录项中主要存放的是
设n阶方阵A满足A2=A,证明:A或者是单位矩阵,或者是不可逆矩阵.
资产评估的目的包括
公共财政就是计划财政。
“色拉米”香肠式谈判让步方式的做法是()
➕
➖
📋
⬆️
已复制到剪贴板