翰林刷题,免费考试真题网站!
首页
关于我们
首页
›
分类
› 详情
作者:高老师
时间:2024-08-03
浏览 1
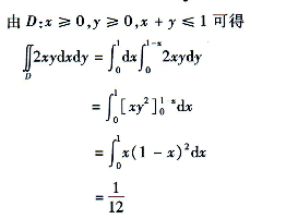
【正确答案】:
📱 扫码体验刷题小程序
扫一扫使用我们的微信小程序
热门题目
下列哪个行业的技术革新揭开了英国第一次工业革命的序幕( )
客户忠诚的层次有
员工在岗位上的工作行为表现与工作结果的价值大小是指()
目标管理
联系实际,论述怎样正确认识和对待人生的顺境和逆境。
关于经济体制和运行机制的改革,邓小平提出了()
借贷资本国际化的主要形式是
赫茨伯格提出了( )。
产品创新设计策略
造型的款式可依商品的不同划分为流行样式、规范样式或革新样式。其中流行样式的特点是()?
数据字典
下列各项中,属于基础金融工具的有( )
➕
➖
📋
⬆️
已复制到剪贴板