翰林刷题,免费考试真题网站!
首页
关于我们
首页
›
分类
› 详情
作者:高老师
时间:2024-08-03
浏览 1
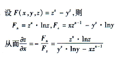
【正确答案】:
📱 扫码体验刷题小程序
扫一扫使用我们的微信小程序
热门题目
(13年lo月;12年1o月;10年lo月真题)威胁世界和平与稳定的主要根源是霸权主义和()
《红字》的作者霍桑是
角色游戏与其他形式的游戏相比较,真实地表现出两个最基本的特点:特殊的想象活动和
学前教育管理机制
下列陈述不属活动教学来源的是( )
按原始凭证填制手续的不同分类,限额领料单属于( )
Books require hard work and practice and ,like sports ,they can
对包装物和低值易耗品进行摊销的方法是()
阅读《登高》教学设计,结合本教学设计完成后面的题目。《登高》教学设计(一)教学目标(1)掌握诗人的精湛构思和杜甫“沉郁顿挫”的诗
急性呼吸窘迫综合征最早、最客观的表现是____和_____。
心理学研究证明:讲授语言的清晰度与____呈正相关。
非流动资产包括( )。
➕
➖
📋
⬆️
已复制到剪贴板