翰林刷题,免费考试真题网站!
首页
关于我们
首页
›
分类
› 详情
作者:高老师
时间:2024-08-03
浏览 2
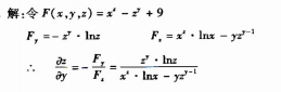
【正确答案】:
📱 扫码体验刷题小程序
扫一扫使用我们的微信小程序
热门题目
现代企业经营理论认为,( )是企业基本经营理念的核心部分。
( )作为我国的外汇外贸专业银行于1983年2月加入SWIFT,成为中国第一家会员银行。
“企业管理当局与职工的利益是一致的,两者的积极性可以融为一体”。这种观点属于
人生观主要体现在人生目的、人生态度、人生价值三个方面。人生目的回答“人为什么而活”,人生态度告诉人应该怎样面对生活,人生价值教会
劳动力
目前广泛用于测量体温的方法是测肛温。()
企业在什么情况下可按存货类别或合并基础计提存货跌价准备?
夜2時ごろ、電話がかかってきて_________ しまったのだ。
wire transfer
Widowers’ Houses, a play written by George Bernard Shaw, is a gr
设A,B,C是随机事件,则“A,B,C至少有一个发生”可以表示为______。
不属于针对财务报表层次重大错报风险的总体应对措施的是( )。
➕
➖
📋
⬆️
已复制到剪贴板