翰林刷题,免费考试真题网站!
首页
关于我们
首页
›
分类
› 详情
作者:高老师
时间:2024-08-03
浏览 0
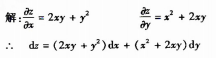
【正确答案】:
📱 扫码体验刷题小程序
扫一扫使用我们的微信小程序
热门题目
Fires in AmericanIn some ways, the United States has made great
试述在完全竞争条件下,企业短期劳动力需求决定的原则。
管理思想史上,巴纳德被誉为是
根据伊扎德的观点,各种基本情绪出现的年龄应在
A公司2017年1月1日支付价款2000万元购入B公司30%的股份,准备长期持有,另支付相关税费20万元,购入时B公司可辨认净资
财政总预算会计的管理体系与政府预算组成体系相一致,共分为( )。
下列各项中,属于负债基本特征的有( )
关于引用,下列的说法中错误的是( )
TOPIC: Compare the differences between Russell and his sister Do
目前常用的一线降压药物有利尿剂、( )、钙通道阻滞剂( ) 、血管紧张素Ⅱ受体拮抗剂及a1受体阻滞剂。
下列属于等级资料的是( )
《中华人民共和国民法总则》规定向法院请求保护民事权利的诉讼时效期间是
➕
➖
📋
⬆️
已复制到剪贴板