翰林刷题,免费考试真题网站!
首页
关于我们
首页
›
分类
› 详情
作者:高老师
时间:2024-08-03
浏览 0
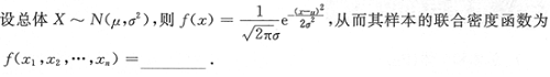
【正确答案】:
📱 扫码体验刷题小程序
扫一扫使用我们的微信小程序
热门题目
杜邦财务分析体系的核心指标是( )。
指出总经理可以用于通知生产员工参加会议的三种有效沟通方法(内部网除外)
简述产品生命周期的特点。
学校美育
汉译日到了暑假我既想学日语,又想学英语。
试销
将40,000元企业进货卖掉获得70,000元收入,因为出售而实现30,000元利润:如果进40,000元的货最后涨到了100,
临床能力是一种实际工作能力,对其评估多采用______法。
社区护理具有的特点是
某患者对刺激的反应有特异性,但延迟,不恒定。该患者处于认知障碍的()
采购人应当将政府采购项目的采购合同副本报同级政府采购监督管理部门和有关部门备案的时间是
广告接触率
➕
➖
📋
⬆️
已复制到剪贴板