翰林刷题,免费考试真题网站!
首页
关于我们
首页
›
分类
› 详情
作者:高老师
时间:2024-08-03
浏览 0
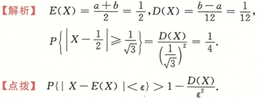
【正确答案】:
1/4,
📱 扫码体验刷题小程序
扫一扫使用我们的微信小程序
热门题目
什么是绝对地租?它产生的原因和源泉是什么?
职业生涯的概念最初是由______提出的。
This friend is a physicist, who has spent a long career decipher
Another explanation is that many of the market's original 282 di
在需求分析阶段,软件设计者应
可行性分析的入手方向是()
简述企业高层领导在进行投资战略决策时,需要考虑的因素。
王逸《离骚经序》是
下列王沂孙《齐天乐·蝉》词句中,运用典故的有
在下列流言类型中,具有制造分裂作用的是 ( )
护理程序的理论基础有( )
心包填塞
➕
➖
📋
⬆️
已复制到剪贴板