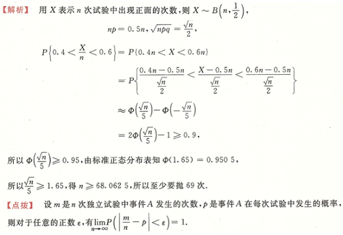
在抛硬币的试验中,至少抛多少次,才能使正面出现的频率落在(0.4,0.6)区间的概率不小于0.9 ?

作者:高老师 浏览 1

在抛硬币的试验中,至少抛多少次,才能使正面出现的频率落在(0.4,0.6)区间的概率不小于0.9 ?
【正确答案】:

📱 扫码体验刷题小程序

微信小程序二维码

扫一扫使用我们的微信小程序

热门题目

已复制到剪贴板