翰林刷题,免费考试真题网站!
首页
关于我们
首页
›
分类
› 详情
作者:高老师
时间:2024-08-03
浏览 0
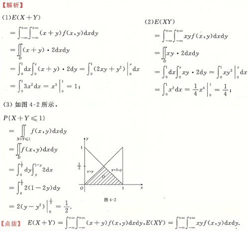
【正确答案】:
📱 扫码体验刷题小程序
扫一扫使用我们的微信小程序
热门题目
把气质分为“狂、狷、中行”三类的是我国古代思想家( )
人际关系的首要和根本的特征是
什么是系统脱敏法?其实施的主要步骤和适用范围是什么?
( )是市场经济形态成熟的标志。
下列账户中,可以属于外币账户的是( )。
每股经营现金流量
被看作是我国最早货币的是
多栏式明细账
解释下列句中加着重号词语的意义。(3)遣太傅赍黄金千斤、文车二驷,服剑一,封书,谢孟尝君。赍:
弥散性血管内凝血(DIC)抗凝治疗是终止DIC病理过程、重建凝血______平衡的重要措施。
软件可靠性是软件在给定的时间内,在规定的环境条件下系统完成所指定功能的
➕
➖
📋
⬆️
已复制到剪贴板