翰林刷题,免费考试真题网站!
首页
关于我们
首页
›
分类
› 详情
作者:高老师
时间:2024-08-03
浏览 1
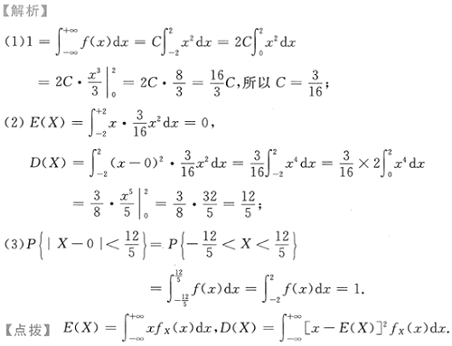
【正确答案】:
📱 扫码体验刷题小程序
扫一扫使用我们的微信小程序
热门题目
证券公司经营证券经纪业务、证券资产管理业务、融资融券业务和证券承销与保荐业务中两种以上业务的,其董事会应当设立( )。Ⅰ.战略发
网上书城属于哪一种类型的基本模式?又属于哪一种类型的具体模式?消费者基本的购物流程是什么? 网上商城相对于传统的实体店,节约了哪
物质激励包括合理的薪资标准、合理的福利待遇、()和合理的考核机制。
如果政府实行高于当前均价的最低价格保护,会导致以下哪种状况?
学前儿童心理发展的一般趋势是
为了总括地核算和监督企业销售产品取得收入的情况,企业应设置的账户是( )
Passage 3 Retail sales and consumer prices had record declines i
The meaning given in the dictionary and forming the core of word
Linguistic context includes________ context, where the meaning o
(2012年1月第17题)单项选择题:明代神魔小说的代表作品是()
《古诗为焦仲卿妻作》中,刘兰芝被遣回家时说:“初七及下九,嬉戏莫相忘。”这句话的说话对象是
乙型肝炎的主要传播途径是
➕
➖
📋
⬆️
已复制到剪贴板