翰林刷题,免费考试真题网站!
首页
关于我们
首页
›
分类
› 详情
作者:高老师
时间:2024-08-03
浏览 0
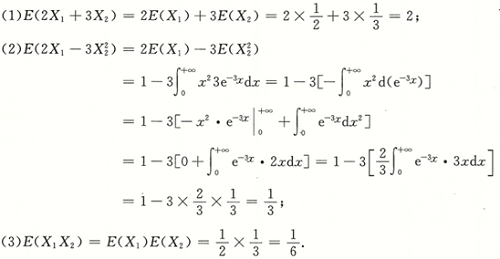
【正确答案】:
📱 扫码体验刷题小程序
扫一扫使用我们的微信小程序
热门题目
20世纪初,资产阶级革命派与改良派进行了论战,以下不属于论战主要问题的选项是
中国近代史上第一次彻底反帝反封建的革命运动是()
下列人物中具有人定胜天思想的唯物主义思想家是()
对框板箱描述错误的是()
我国社会主义法律的主要渊源是()
企业战略的最终目的就是要克敌制胜,赢得市场竞争的胜利。这指的是战略的( )
20世纪80年代,发达国家的学前机构教育走向
比较各国学前教育的课程目标,课程目标改革与发展呈现出共同的趋势,下列是其中趋势之一的是()
抽样期望净得益是某一数值与取得样本信息的费用之间的差额,这个数值是( )
overshadowing the native festivals的意思是()
软件开发、工程建设等技术性因素会从哪些方面影响系统实施效果?
人们对事物的好坏、美丑、善恶的评价是()
➕
➖
📋
⬆️
已复制到剪贴板