翰林刷题,免费考试真题网站!
首页
关于我们
首页
›
分类
› 详情
作者:高老师
时间:2024-08-03
浏览 1
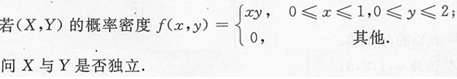
【正确答案】:
📱 扫码体验刷题小程序
扫一扫使用我们的微信小程序
热门题目
共产主义社会将要消灭的“三大差别”不包括()
在“三个有利于”标准中处于基础地位的是()
把活动的影像和音响效果结合起来的是( )
下列关于学前视觉障碍儿童心理特点的描述,不正确的是( )
活动区的界限性
计税依据
如果企业开出的银行承兑汇票不能如期支付,应在票据到期并未签发新的票据时,将应付票据的账面价值转入的科目是( )
文章
The grammatical code [+ obj v-ed] means____. [ ]
某牙膏厂投资生产牙刷,这种多角化投资战略是( )
被欧洲戏剧界称赞为“东方戏剧的奇迹”的是老舍的戏剧()
➕
➖
📋
⬆️
已复制到剪贴板