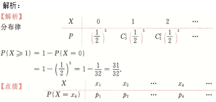
抛一枚硬币5次,记正面向上的次数为Х,则P{Х≥1}=___________。

作者:高老师 浏览 0

抛一枚硬币5次,记正面向上的次数为Х,则P{Х≥1}=___________。
【正确答案】:

31/32,


📱 扫码体验刷题小程序

微信小程序二维码

扫一扫使用我们的微信小程序

热门题目

已复制到剪贴板