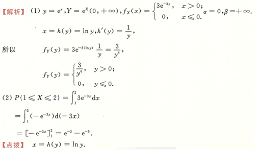
设随机变量X服从参数为3的指数分布,试求:(1)Y=ex的概率密度;(2)P{1≤X≤2).

作者:高老师 浏览 1

设随机变量X服从参数为3的指数分布,试求:(1)Y=ex的概率密度;(2)P{1≤X≤2).
【正确答案】:

📱 扫码体验刷题小程序

微信小程序二维码

扫一扫使用我们的微信小程序

热门题目

已复制到剪贴板