翰林刷题,免费考试真题网站!
首页
关于我们
首页
›
分类
› 详情
作者:高老师
时间:2024-08-03
浏览 1
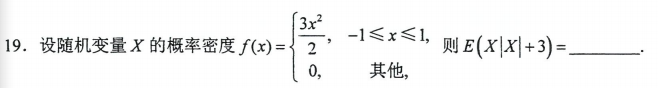
【正确答案】:3
📱 扫码体验刷题小程序
扫一扫使用我们的微信小程序
热门题目
与ISO/OSI RM不同的是,TCP/IP协议包括( )。
计算机系统由()组成。
简述资金时间价值的概念与其在财务决策中的作用。
财务管理的对象是财务。财务包括下列哪些活动()
工作性质、难易程度、责任大小、所需资格条件相同或充分相似的职位的组合指的是
某种资源以一定数量不断增加时,产品产量以不断增加的比率增加,这称为
存货截止审计的方法有
简述期望和方差各描述的是随机变量的什么特征。
设A为3阶矩阵,且|A|=2,则|A*|=()。
在复杂环境中找出关键性的影响因素属于护理管理者的
简述阴道灌洗的目的和适应证。
设备采购合同中,供货方按照交货顺序在规定的时间内将货物送达交货地点,此时,采购方一般支付( )
➕
➖
📋
⬆️
已复制到剪贴板