翰林刷题,免费考试真题网站!
首页
关于我们
首页
›
分类
› 详情
作者:高老师
时间:2024-08-03
浏览 3
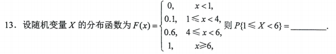
【正确答案】:0.6
📱 扫码体验刷题小程序
扫一扫使用我们的微信小程序
热门题目
西欧国家成立“欧洲共同体”的目的,主要是 ( )
简述在社会变革中出现的新的社会阶层。
一国国内的生产超出本国范围,形成国与国之间在生产要素、生产产品和生产过程等方面日益相互依赖、相互补充的格局是( )
下列有关Windows 7磁盘的叙述中,正确的是( )
我国学前教育充分吸收外国的教育理论如皮亚杰的建构理论、维果斯基的最近发展区、瑞吉欧的课程理论等,体现了学前教育对文化的()。
下面推理属于或然性推理的有( )
第一个专门研究人口问题的经济学家是
Is it a romantic poem?
Webster’s Third New International Dictionary is the best-known()
下列术语中卖方责任最大的是 ( )
许浑诗歌创作的特点有
➕
➖
📋
⬆️
已复制到剪贴板