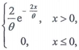
设总体X的概率密度为f(x)= 其中未知参数θ>0,x1,x2,…,xn为来自X的样本,为样本均值.求:(1) θ的矩估计

作者:高老师 浏览 0

设总体X的概率密度为f(x)= 其中未知参数θ>0,x1,x2,…,xn为来自X的样本,为样本均值.求:(1) θ的矩估计;(2) θ的极大似然估计


【正确答案】:


📱 扫码体验刷题小程序

微信小程序二维码

扫一扫使用我们的微信小程序

热门题目

已复制到剪贴板