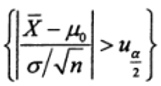
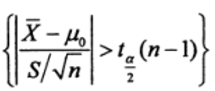
设X1,X2,…,Xn (n>1)为来自正态总体N(μ, σ2)的样本,其中σ2未知,
和S2分别是样本均值和样本方差,对于检验假设H0:μ=μ0;H1: μ≠μ0,当显著性水平为α时H0的拒绝域为
A、

B、

C、

D、

【正确答案】:C
【题目解析】:

设X1,X2,…,Xn (n>1)为来自正态总体N(μ, σ2)的样本,其中σ2未知,
和S2分别是样本均值和样本方差,对于检验假设H0:μ=μ0;H1: μ≠μ0,当显著性水平为α时H0的拒绝域为





📱 扫码体验刷题小程序
扫一扫使用我们的微信小程序