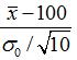
设x1,x2,…,x10为来自正态总体若检验假设则应采用的检验统计量的表达式为_________.

作者:高老师 浏览 0

设x1,x2,…,x10为来自正态总体若检验假设则应采用的检验统计量的表达式为_________.


【正确答案】:
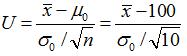
【题目解析】:

进行检验, 已知,检验统计量为


📱 扫码体验刷题小程序

微信小程序二维码

扫一扫使用我们的微信小程序

热门题目

已复制到剪贴板