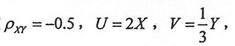
设随机变量X与Y的相关系数U与V的相关系数 =_______.

作者:高老师 浏览 0

设随机变量X与Y的相关系数U与V的相关系数 =_______.


【正确答案】:-0.5
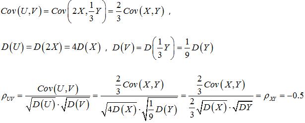
【题目解析】:

📱 扫码体验刷题小程序

微信小程序二维码

扫一扫使用我们的微信小程序

热门题目

已复制到剪贴板