设随机变量X的分布律为 ,F(x)是X2的分布函数,则F(0)=_______.

作者:高老师 浏览 2

设随机变量X的分布律为 ,F(x)是X2的分布函数,则F(0)=_______.


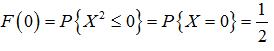
【正确答案】:
【题目解析】:

📱 扫码体验刷题小程序

微信小程序二维码

扫一扫使用我们的微信小程序

热门题目

已复制到剪贴板