设二维随机变量(X,Y)的分布律为 求:(1)(X,Y)关于Y的边缘分布律;(2)(X,Y)关于Y的边缘分布函数FY(y).

作者:高老师 浏览 0

设二维随机变量(X,Y)的分布律为 求:(1)(X,Y)关于Y的边缘分布律;(2)(X,Y)关于Y的边缘分布函数FY(y).


【正确答案】:

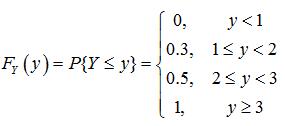
(1) (X,Y)的边缘分布律为(2) (X,Y)的边缘分布函数为


📱 扫码体验刷题小程序

微信小程序二维码

扫一扫使用我们的微信小程序

热门题目

已复制到剪贴板