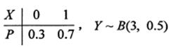
设随机变量X的分布律为 且 X与Y 相互独立,则()

作者:高老师 浏览 2

设随机变量X的分布律为 且 X与Y 相互独立,则()


A、0.0375
B、0.3
C、0.5
D、0.7
【正确答案】:A
【题目解析】:

因为X 与Y 相互独立,所以


📱 扫码体验刷题小程序

微信小程序二维码

扫一扫使用我们的微信小程序

热门题目

已复制到剪贴板