翰林刷题,免费考试真题网站!
首页
关于我们
首页
›
分类
› 详情
作者:高老师
时间:2024-08-03
浏览 0
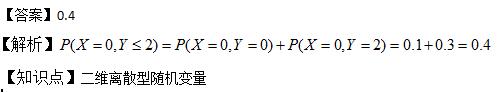
【正确答案】:
📱 扫码体验刷题小程序
扫一扫使用我们的微信小程序
热门题目
简述垄断阶段同自由竞争阶段竞争的不同点。
新兴行业所面临的( )是最具有挑战性的战略问题。
简述国际市场营销环境包括哪些方面。
蒙台梭利非常重视幼儿的(____)和智力培养,这是蒙台梭利教学法的一大特点。
适合幼儿园种植的植物应是( )
按指数所说明的是总体还是其构成单位的数量变动,可以分为
We have student support advisers, and whenever we need help with
箭线式网络图是由_____、_____和_____构成的。
“市场预测”的活动体现的决策方式是()
Topic Discussion:Write no less than 150 words on each of the fol
phrasal verbs
When I was 11. I lived in a small town in Kentucky. Everyone the
➕
➖
📋
⬆️
已复制到剪贴板