翰林刷题,免费考试真题网站!
首页
关于我们
首页
›
分类
› 详情
作者:高老师
时间:2024-08-03
浏览 0
A、
B、
C、
D、
【正确答案】:C
【题目解析】:
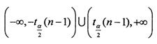
方差未知,单个正态总体均值检验,拒绝域为
。
📱 扫码体验刷题小程序
扫一扫使用我们的微信小程序
热门题目
五四运动爆发的社会历史条件。
提出允许中小企业的产权进行有偿转让的报告是()
下列属于我国军人退役安置内容的有 ( )
利用瓦尔拉需求(供给)和有效需求(供给)的区别: ①一方面,可以研究数量的限额对经济行为人的影响; ②另一方面,通过分析 的关
未规定公民享有获得赔偿的权利的宪法和宪法性文件是( )。
用来评价公司盈利能力的指标主要有()
简述库兹涅茨倒U形曲线理论的主要内容。
下列各项中,对无形资产特征表述正确的是
After the medical accident, she was reduced from head nurse to()
语法信息可细分为三类信息:随机信息、偶发信息和( )
Which of the following words does NOT belong to the words of Fre
简述不可抗力的法律后果
➕
➖
📋
⬆️
已复制到剪贴板