翰林刷题,免费考试真题网站!
首页
关于我们
首页
›
分类
› 详情
作者:高老师
时间:2024-08-03
浏览 0
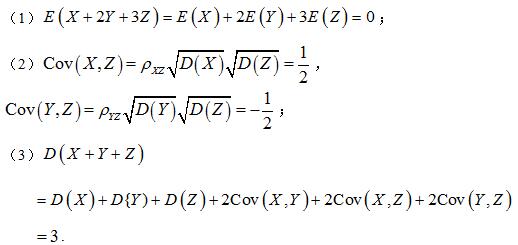
【正确答案】:
📱 扫码体验刷题小程序
扫一扫使用我们的微信小程序
热门题目
在实际抽样调查工作中,又称为系统抽样的抽样方式为
体现分权原则的典型国家是( )。
简述爱国统一战线的任务。
被称为“德国第一部有政治倾向性的戏剧”的是( )
我国古代广告的特点包括
勒温给孩子提供材料和玩具,以帮助他们通过游戏释放、再现精神创伤的事件发生在( )
很遗憾,我方暂时不能接受贵方报盘。
基址寄存器和界限寄存器是属于( )
下列有关中期财务报告的表述中,不符合现行会计制度规定的有( )。
下列关于存货周转情况分析的表述中,正确的有
货币制度是指国家对货币的有关要素、货币流通的组织和管理等进行的一系列规定。
依《国际贸易术语解释通则2010》,由卖方办理保险手续的贸易术语有( )
➕
➖
📋
⬆️
已复制到剪贴板