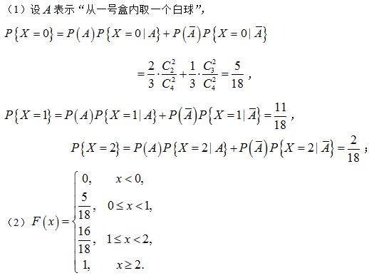
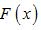
已知一号盒内有一个红球两个白球,二号盒内有两个红球一个白球,先从一号盒内任取一个球放入二号盒内,再从二号盒内任取两个球,设X为“

作者:高老师 浏览 0

已知一号盒内有一个红球两个白球,二号盒内有两个红球一个白球,先从一号盒内任取一个球放入二号盒内,再从二号盒内任取两个球,设X为“最终取到白球的个数”. 求: (1)X的分布律; (2)X的分布函数.


【正确答案】:

📱 扫码体验刷题小程序

微信小程序二维码

扫一扫使用我们的微信小程序

热门题目

已复制到剪贴板