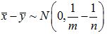
设总体X,Y独立同分布,且的样本的样本均值,样本容量分别为则下列结论正确的是

作者:高老师 浏览 2

设总体X,Y独立同分布,且的样本的样本均值,样本容量分别为则下列结论正确的是


A、
B、
C、
D、
【正确答案】:B
【题目解析】:

📱 扫码体验刷题小程序

微信小程序二维码

扫一扫使用我们的微信小程序

热门题目

已复制到剪贴板