翰林刷题,免费考试真题网站!
首页
关于我们
首页
›
分类
› 详情
作者:高老师
时间:2024-08-03
浏览 0
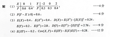
【正确答案】:
📱 扫码体验刷题小程序
扫一扫使用我们的微信小程序
热门题目
一国贸易进口总额与出口总额大体相当属于( )
垄断资本主义国家对经济的宏观管理与调节代表着( )
家庭教育的目的,就是培养________的人。
简述活动区种类和数量选择的考虑因素
幼儿对同伴说:“我看到一条像牛那样大的狗”,幼儿的这种说谎属于
我国民间的谚语,例如“瑞雪兆丰年”、“朝霞不出门,晚霞行千里”等,是哪种分析方法的很好例证?( )
How many morphemes are there in the word denaturalization?
国债有“金边债券”之称。
“生命诚可贵,爱情价更高,若为自由故,两者皆可抛”这脍炙人口的诗句在组织行为学家史布兰格的价值观分类中属于
在社会学研究方法论中,遵循自然科学法则,用普遍的因果律研究社会现象的方法理论,被称为( )。
制定学前教育规划的原则有哪些?
曾为晋代《泰始律》作注的律学家有()
➕
➖
📋
⬆️
已复制到剪贴板