翰林刷题,免费考试真题网站!
首页
关于我们
首页
›
分类
› 详情
作者:高老师
时间:2024-08-03
浏览 0
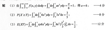
【正确答案】:
📱 扫码体验刷题小程序
扫一扫使用我们的微信小程序
热门题目
名词解释:人际沟通过程
下列不属于公司投资引起的财务活动的是()
价值不断突破其上限的货币是
联系实际分析影响学前游戏的社会环境因素。
新西兰政府必须为所有的学前教育机构提供资助,并关注特殊儿童的政策依据是
等于1阶的齐次生产函数具有递增的比例报酬。
设有序表中的元素为(13,18,24,35,47,50,62),则在其中利用二分法查找值为24的元素需要经过比较的次数是
第15题
开环的物料需求计划()
考察进入威胁应考虑从哪几方面进行调研?
初级卫生保健工作的核心任务是
➕
➖
📋
⬆️
已复制到剪贴板