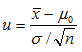
设 X1,X2,…, Xn为来自正态总体 N((μ,σ2)的样本,其中σ2己知,,
为样本均值,若检验假设 H0: μ=μ0,H1 : μ≠μ0,其中 μ0为己知数,则应采用的检验统计量的表达式为_________
【正确答案】:

【题目解析】:
总体方差已知,对均值的检验统计量为
设 X1,X2,…, Xn为来自正态总体 N((μ,σ2)的样本,其中σ2己知,,
为样本均值,若检验假设 H0: μ=μ0,H1 : μ≠μ0,其中 μ0为己知数,则应采用的检验统计量的表达式为_________

总体方差已知,对均值的检验统计量为
📱 扫码体验刷题小程序
扫一扫使用我们的微信小程序