翰林刷题,免费考试真题网站!
首页
关于我们
首页
›
分类
› 详情
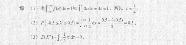
设随机变量石的概率密度为
作者:高老师
时间:2024-08-03
浏览 0
设随机变量石的概率密度为
【正确答案】:
📱 扫码体验刷题小程序
扫一扫使用我们的微信小程序
热门题目
1936年10月,中国工农红军第一、二、四方面军胜利会师于( )
在公务场合,称呼对方时往往采用()
中国特色社会主义是我们共同的理想信念。确立和践行这一理想信念,需要( )。
工程函数用于工程分析,这类函数中的大多数可分为三种类型:( )、在不同的数字系统问进行数值转换的函数、在不同度量系统中进行数值转
试联系实际论述家庭教育的地位与作用。
男女双性化
财务会计中的存货,其类型包括()
地球表面的3/4都是海洋。
还原公司2007年的有关资料如下:(1)年初存货为12000元,应收账款为36000元,流动资产为95000元,应付账款余额为1
保险利益确定了被保险人获得赔偿的
被评估建筑物账面价值80万元,1995年建成,要求评估1998年该建筑物的重置成本。根据调查得知,被评估建筑物所在地区的建筑行业
审美形态是对审美对象的
➕
➖
📋
⬆️
已复制到剪贴板