翰林刷题,免费考试真题网站!
首页
关于我们
首页
›
分类
› 详情
作者:高老师
时间:2024-08-03
浏览 0
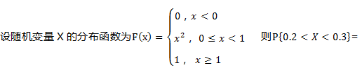
A、0.01
B、0.05
C、0.1
D、0.4
【正确答案】:B
【题目解析】:
📱 扫码体验刷题小程序
扫一扫使用我们的微信小程序
热门题目
新艺术运动的风格特征主要有()
儿童诗是随着白话文自由诗的诞生而发展起来的,中国现代意义上的“儿童诗”概念产生于( )
审计核对法
完成拓扑排序的前提条件是AOV网中不允许出现。
执行下列代码: double pi=3.1415926;cout 程序的输出结果是__________。
人们评价模块质量的标准是 小、内聚大。
I/O端口的编址方法有统一编址和独立编址两种,在下列关于统一编址方法特点的叙述中,错误的是( )
简述设计会计凭证的主要内容。
在国际货物多式联运中,联运人对不同运输区段发生的货物损害,分别根据该运输区段法律规定的归责原则和赔偿限额承担责任,这被称为
盒中有4白球,2个红球,从中连续不放回的取两次,每次取1个球。求第二次取到红球的概率。
简述政府采购制度的作用。
我国新闻单位内部组织机构一般划分为( )
➕
➖
📋
⬆️
已复制到剪贴板